When I started paying $20/month for ChatGPT Plus, it felt like just another software subscription (the kind that I remember to cancel one month after the auto-renewal date). But times are changing. OpenAI is changing its pricing model and is exploring rates as high as $20,000/month for what it calls “PhD-level” agents, with other tiers like $10,000/month for a software developer agent. From a positioning perspective, AI agents are not being framed as software, they are being framed as labour.
Sam Altman expands on this business model during an interview with Ben Thompson, “I am more excited to figure out how we can charge people a lot of money for a really great automated software engineer or other kind of agent than I am making some number of dimes with an advertising-based model.” This topic came up when I was speaking with a college professor last week. We were discussing the skills that new marketing graduates need to have. AI is obviously one of them—but if an organization is choosing between a new graduate and $2,000/ month knowledge worker, it raises some challenges for entry-level work.
AI & the Workplace
One way that recent grads (and everyone else in a marketing role for that matter) can advance is to continue to find ways for AI to augment and benefit their own work. This is the expectation according to Shopify’s Tobi Lutke who shared in a leaked internal memo that “reflexive AI usage is now a baseline expectation”. At Shopify, using AI will be part of performance reviews, and teams must demonstrate why they cannot get what they want done using AI when requesting more headcount.
If you’re struggling to find ways to incorporate AI into your own workflow, Anthropic released new research on how students and knowledge workers are using Claude. Students – particularly in STEM – are using the platform to design practice questions, troubleshoot code, create practical negotiation exercises (and more broadly, cheat on homework). Workers are finding very role-specific use cases for Claude, and many are iterative – working with the system to edit and refine something – like code, images, and copy.
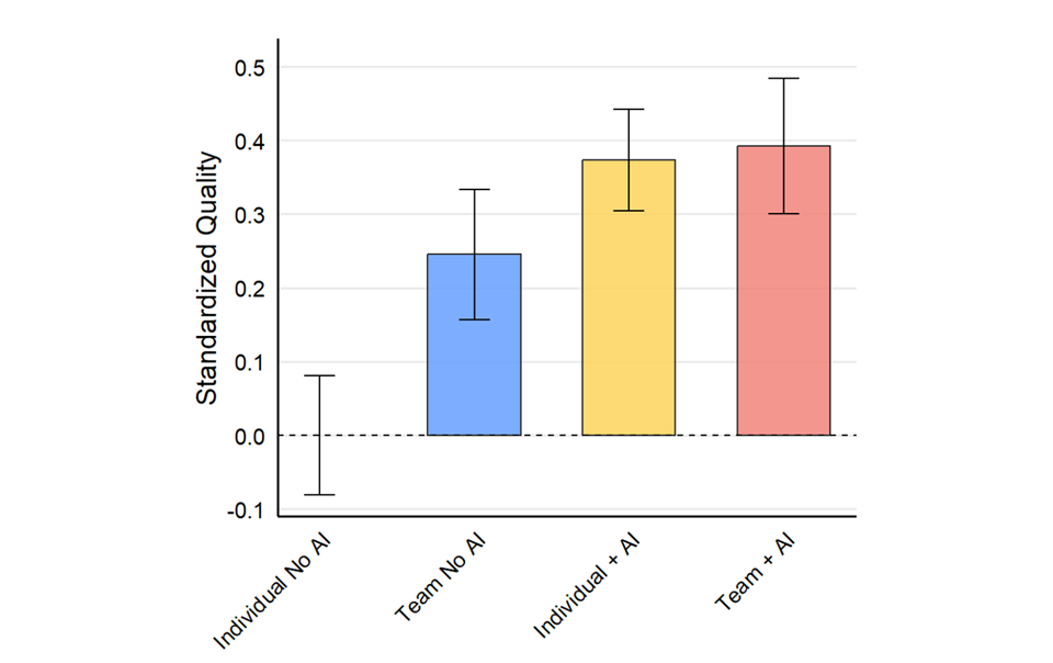
A recent study by Ethan Mollick with a team at P&G offers compelling evidence on the impact of AI augmentation in the workplace. The research found that individuals using AI outperformed teams working without it – “our findings suggest AI sometimes functions more like a teammate than a tool.” Maybe AI is not coming for our jobs, but just wants to jam?
AI & Search
Many of my clients invest in SEO and paid search, and all are closely watching how AI is reshaping search results and shopping behaviors. Google is integrating AI more deeply with the rollout of “AI mode,” designed to provide more advanced, summary-style answers. Meanwhile, tools like Claude are beginning to search the web, blurring the lines with traditional search engines.
According to Paul Low, “digital advertising will shift from targeting people to influencing AI agents that shop on their behalf.” This shift is already underway: Adobe reports a 1,200% increase in traffic to U.S. retail websites from generative AI sources between July 2024 and February 2025. At the same time, publishers are seeing declines in traffic from organic search.
Tools like Similarweb now track traffic from both search and AI chatbots, including prompts and queries. One study found that only 30% of prompts resembled search queries—most were used for tasks like image creation, summarization, or writing code. It will be interesting to see if people continue to view search engines and AI chatbots as different tools for different jobs, or if they become sort of the same thing. I notice that I’m using ChatGPT for many different types of searches that I would normally start on Google just 6 months ago.
Fresh Reports
AI Intelligence index Report 2025 (Stanford): A comprehensive resource for big picture stats on the state of AI around the world. Most interesting to me were the regional differences around 'AI Optimism', which has increased by +8% in Canada over the last two years.
How Public & Experts View AI (Pew): Interesting study comparing how AI experts feel about AI versus the general public; 56% of experts believe AI will have a positive impact over the next 20 years, compared to only 17% of the general public. A big gap.
Digital Media Trends 2025 (Deloitte): For my readers in the media space, this piece includes some useful charts showing how social media dominates young consumers' entertainment lives and how social media advertising is more influential vs. ads on streaming services.
Cool Beans
Gemini Live (Google): Some very cool examples of how you can use Gemini with your phone camera to interact with what you see. Just point your camera at what is broken and ask for troubleshooting advice, or at an outfit and ask for style advice.
NotebookLM Mind Maps (Google): So, this might only be ‘cool beans’ to me (‘nerd alert!), but you can now create interactive mind maps within NotebookLM.
Robot That Launches Gum into Your Mouth: No further explanation required.
